All Math Formulas ที่มีพีชคณิตเรขาคณิตตรีโกณมิติและแคลคูลัสในที่เดียว
All Math Formulas เป็นแอพ Android ที่ครอบคลุมซึ่งออกแบบมาสำหรับผู้ที่ชื่นชอบคณิตศาสตร์และนักเรียน แอพนี้เป็นทรัพยากรที่คุณต้องการสำหรับสูตรคณิตศาสตร์ที่จำเป็นทั้งหมดในที่เดียวซึ่งสามารถเข้าถึงได้อย่างสะดวกสบาย ไม่จำเป็นต้องมีการเชื่อมต่ออินเทอร์เน็ต - เข้าถึงสูตรได้ทุกที่ทุกเวลา!
ในแอพนี้คุณจะได้รับสูตรและสมการทางคณิตศาสตร์มากกว่า 1,000 รายการ ด้วยสูตรคุณจะได้รับแผนภาพที่เหมาะสมเพื่อให้คุณเข้าใจสูตรได้อย่างง่ายดาย คุณสามารถอ่านสมการต่าง ๆ ได้อย่างง่ายดายจากแอพนี้
คุณสมบัติที่สำคัญของแอปสมการคณิตศาสตร์นี้:
การเข้าถึงแบบออฟไลน์: เพลิดเพลินไปกับความสะดวกในการเข้าถึงสูตรคณิตศาสตร์มากกว่า 1,000 สูตรโดยไม่จำเป็นต้องเชื่อมต่ออินเทอร์เน็ต
การครอบคลุมที่ครอบคลุม: จากเลขคณิตพื้นฐานไปจนถึงแคลคูลัสขั้นสูงพีชคณิตเชิงเส้นและที่อื่น ๆ แอพนี้ครอบคลุมทุกอย่าง
การเรียนรู้ด้วยภาพ: เมื่อจำเป็นสมการยังรวมถึงไดอะแกรมเพื่อให้มั่นใจว่าช่วยให้เห็นภาพเพื่อช่วยให้เข้าใจสูตรได้ดีขึ้น
การอัปเดตปกติ: อยู่ข้างหน้าด้วยแนวคิดและสูตรทางคณิตศาสตร์ล่าสุดแอพนี้ได้รับการปรับปรุงเป็นประจำเพื่อรวมเนื้อหาใหม่และปรับปรุงเนื้อหาที่มีอยู่
ไม่ว่าคุณจะกำลังเตรียมตัวสำหรับการสอบจัดการกับโครงการที่เกี่ยวข้องกับคณิตศาสตร์หรือเพียงแค่แปรงทักษะของคุณ All Math Formulas เป็นเพื่อนที่สมบูรณ์แบบ ดาวน์โหลดแอพวันนี้และเริ่มต้นการเดินทางที่ไร้รอยต่อผ่านโลกแห่งคณิตศาสตร์!
ในแอพนี้คุณจะได้รับสูตรคณิตศาสตร์และสมการรวมถึง:
สูตรพีชคณิตและสมการ
สูตรและสมการเรขาคณิต
สูตรตรีโกณมิติและสมการ
ในส่วนแคลคูลัสของแอพนี้คุณจะได้รับสูตรของ:
ขีด จำกัด
อนุพันธ์
อินทิกรัล
ในคุณสมบัติพื้นฐานและข้อเท็จจริงของแอพนี้คุณจะได้รับสูตรของ:
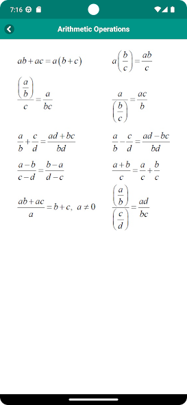
การดำเนินการทางคณิตศาสตร์
คุณสมบัติเลขชี้กำลัง
คุณสมบัติของอนุมูล
คุณสมบัติของความไม่เท่าเทียม
คุณสมบัติของค่าสัมบูรณ์
สูตรระยะไกล
ตัวเลขที่ซับซ้อน
ลอการิทึมและคุณสมบัติบันทึก
แฟคตอริ่งและการแก้ปัญหา
สูตรแฟคตอริ่ง
สูตรกำลังสอง
คุณสมบัติรากที่สอง
สมการค่าสัมบูรณ์/ความไม่เท่าเทียมกัน
เสร็จสิ้นสี่เหลี่ยมจัตุรัส
ฟังก์ชั่นและกราฟ
ฟังก์ชั่นคงที่
ฟังก์ชั่นบรรทัด/เชิงเส้น
ฟังก์ชั่นพาราโบลา/กำลังสอง
วงกลม
วงรี
ไฮเพอร์โบลา
ในส่วนสูตรเรขาคณิตของแอพนี้คุณจะได้รับสูตรของ:
สี่เหลี่ยม
สี่เหลี่ยมผืนผ้า
วงกลม
รูปสามเหลี่ยม
สี่เหลี่ยมด้านขนาน
สี่เหลี่ยมคางหมู
ลูกบาศก์
กระบอกสูบ
ทรงกลม
กรวย
ทั้งหมดในหนึ่ง
สัญลักษณ์เรขาคณิต
ฟังก์ชั่นตรีโกณมิติ
มุมพิเศษ
ค่าฟังก์ชันตรีโกณมิติใน Quadrants II, III และ IV
วงกลมหน่วย
สูตรการเพิ่มมุม
สูตรสองมุม
สูตรครึ่งมุม
สูตรการลดพลังงาน
สูตรผลิตภัณฑ์ - ถึง - SUM
สูตร cofunctions
กฎแห่ง Sines
กฎของโคไซน์
กฎของแทนเจนต์
ตัวตนของพีทาโกรัส (สำหรับทุกมุมθ)
สูตรของ Mollweide
จำกัด คำจำกัดความ
ความสัมพันธ์ระหว่างขีด จำกัด และขีด จำกัด ด้านเดียว
จำกัด คุณสมบัติสูตร
สูตรการประเมินขีด จำกัด ขั้นพื้นฐาน
เทคนิคการประเมินผลสูตร
ฟังก์ชั่นต่อเนื่องบางอย่าง
ทฤษฎีบทค่ากลาง
คำจำกัดความและสัญกรณ์อนุพันธ์
การตีความอนุพันธ์
คุณสมบัติและสูตรพื้นฐาน
อนุพันธ์ทั่วไป
ตัวแปรกฎโซ่
อนุพันธ์ลำดับที่สูงขึ้น
ความแตกต่างโดยนัย
เพิ่ม/ลดลง - เว้าขึ้น/เว้าลง
สุดขั้ว
ค่าเฉลี่ยทฤษฎีบทค่า
วิธีการของนิวตัน
อัตราที่เกี่ยวข้อง
การเพิ่มประสิทธิภาพ
คำจำกัดความอินทิกรัล
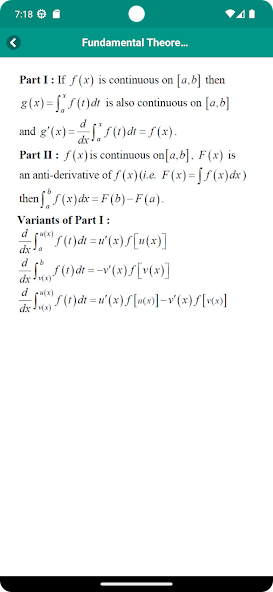
ทฤษฎีพื้นฐานของแคลคูลัส
คุณสมบัติ
อินทิกรัลทั่วไป
เทคนิคการรวมมาตรฐาน
อินทิกรัลที่ไม่เหมาะสม
การประมาณอินทิกรัลที่แน่นอน
February 14, 2026
February 14, 2026
February 14, 2026
February 14, 2026
February 13, 2026
February 13, 2026
February 13, 2026
February 13, 2026
February 13, 2026
February 13, 2026